After the successful test at Volcano Ranch, The University of Utah Cosmic Ray group began the construction of a full-scale observatory based on the same basic design. The new group was led by George Cassiday. Other Utah faculty members working on the new project included H. Bergeson, Gene Loh, and Pierre Sokolsky.
|
|
|
|
|
The new Utah experiment began observations in 1981 and was operated until 1993. A second detector site was completed in 1986.
![]() Map showing the location of DPG relative to Salt Lake City. ![]() Map showing the location of Little Granite Mountain within DPG. |
The new experiment was located in the West Desert of Utah, within the United States Army Dugway Proving Ground (DPG). The detectors sit atop Little Granite Mountain - also known as Five Mile Hill (FMH). Dugway is located 160 km southwest of Salt Lake City. The Proving Ground was chosen because it featured a unique combination of available infra-structure (electricity, communications) and relative isolation. The presence of the military installation also offers excellent security for personnel and equipment.
The West Desert provides an ideal location for fluorescence observations. The floor of the desert lies at an altitude of ~4,500 feet or a vertical depth of ~860 g/cm2, which is well suited for observing cosmic ray air showers in the UHE regime. The nearest population centers are more than 30 miles away, and light pollution is mostly blocked by the surrounding mountains. The average annual rainfall and snowfall are 7.5 and 15.5 inches, respectively. There is a complete absence of surface water within the boundary of DPG, and the average humidity is 48%.
For 347 days per year, the visibility at DPG is better than 10 miles. With an average wind velocity of 6 miles per hour, and its isolation from major urban centers, there is a minimum of aerosol contamination. These conditions allow the greatest number of clear, moonless nights possible for fluorescence observations, and also give the largest possible detection range for air showers to be found anywhere in the world.
![]() Photograph showing the detector modules at Little Granite Mountain oriented for data-taking. ![]() Photograph showing the interior of a "mirror". Left to right: Bob Cady and Jerry Elbert. |
Between 1981-1986, the new Utah detector array at Dugway comprised of 67 modules constructed on the same design as the three prototypes used at Volcano Ranch in 1976. The new modules are housed on corrugated steel barrels on motor-driven rotary mounts. During down-time, the barrels are rotated such that the mirrors are pointed downward to protect the module from sunlight and the elements. During run-time on clear, moonless nights they are oriented as shown in the photograph of Little Granite Mountain.
As in the Volcano Ranch prototype, each detector module contains a spherical mirror of 1.6 m diameter, and 1.5 m. These modules are usually referred to as "mirrors". Depending on its orientation, each mirror is instrumented with either 12 or 14 photomultiplier tubes (PMT) mounted at the focal surface. The arrangement is illustrated in the photograph below. In front of each PMT is a hexagonal "Winston" light cone to extend the collection area of each PMT' from a circle to a hexagon. The outsides of the cones are painted yellow and can be seen in the photograph.
![]() Geometrical arrangement of PMT-pixels in the sky. The image of an air shower is shown by the shaded hexagons. |
During observation, the mirrors and the PMT's are oriented to divide the sky into 880 pixels. Each pixel covers 0.0066 steradians (~5 degrees by 5 degrees). The arrangement of the PMT-pixels is shown in the figure below. Because of the light cone, the actual shape of the field-of-view (FOV) for each pixel is hexagonal, leaving no gaps between PMT's. As an air shower crosses the sky, its trajectory is imaged onto the PMT's firing a succession of pixels, shown by the shaded hexagons in the same figure.
The coverage of the sky with hexagonal pixels is reminiscent of the compound eye of a fly. For this reason, the Utah experiment was named "The Fly's Eye". Extending the analogy, the read-out electronic (amplifier-discriminator) boards were referred to as "ommatidial boards" (OMB), as the neural tissues behind the retina are known as ommatidial nerves. The major parameters of the Fly's Eye Experiment are listed in the table below.
| Number of mirrors |
67 |
|
Diameter of mirrors |
1.575 m |
|
Focal Length |
1.500 m |
|
Number of PMT (and Winston cones) |
880 |
|
Mirror Obscuration by PMT cluster |
13% |
|
Mirror-cone efficiency product |
~0.7 |
|
PMT type |
EMI 9861 B |
|
Peak PMT quantum efficiency at 360 nm |
0.21 |
|
Angular Aperture per PMT |
91.5 mr |
|
Solid Angle per PMT |
6.57 msr |
|
Number of electronic channels |
2640 |
|
Charge dynamic range |
105 linear |
|
Time Resolution |
25 ns |
For each detected air shower, the Fly's Eye records the pattern of fired PMT's. Each hit PMT also stores the time of arrival of the light pulse from the shower, and the integrated amount of light received. From the pointing directions and the arrival times of the PMT hits, it is possible to reconstruct the trajectory of the air shower. The procedure is traditionally divided into two steps:
![]() Figure illustrating the Shower-Detector Plane. |
For the "plane fit", we treat the air shower trajectory as a straight line. Strictly speaking, the shower has a lateral size of the order of ~100 m, depending on the stage of shower development. At sufficiently large distances (more than a few km), the light from the shower would appear to come from a line source. We also treat the detector itself as a single point, even though it is spread over a ~100 m wide area. Again, this size is negligible at distances of a few km or more. The point of the detector and line of the shower together defines a plane which is referred to as the "detector-shower plane", as illustrated in the figure.
The parameters of the shower-detector plane can be determined by fitting the direction cosines of the hit pixels to a plane. It is customary in this procedure to choose the detector site as the origin and fit for the normal unit vector of the shower-detector plane.
Next, the exact trajectory of the shower within the shower-detector plane can be specified by two additional parameters: (a) the impact parameter Rp, and (b) the incline angle c0, or its complementary angle y. It turns out that there exists a simple trigonometric relationship between the arrival times ti and the angles ci of the hit pixels. The angle ci for a given tube is measured from the position where the shower strikes the ground (called the "core" location) to the point of observation P. This relationship is given in the diagram below. This analytic formula involves Rp and c0 as parameters, plus an arbitrary time offset t0, and relies on the approximation that both the air shower particles and the light emitted travel at the speed of light in vacuum, c.
![]() Diagram illustrating the trigonometric relationship between the arrival times.ti and the angles ciof the hit pixels. |
The derivation of the above formula is left as a homework exercise for the reader.
If you like, send e-mail solutions (body text + MIME attachments must not exceed 3 MBytes) to: solutions@cosmic.utah.edu
Correct solutions will be rewarded with a personalized certificate of merit sent by e-mail. Please include your e-mail address and how you want your name to appear on the certificate.
The parameters Rp, c0, and t0 are determined from the fit to the above formula. This step is usually referred to as the "timing fit".
The first figure below shows a display of a typical air shower event recorded by Fly's Eye. The x- and y-direction cosines of the hit pixels are plotted and numbered (1-36) in time-order. This event in fact passes almost directly over the detector. The solid curve below shows the fitted shower-detector plane.
    
The timing-fit for the same event is shown in the plot above. The pixels are numbered exactly as before. Those pixels which were excluded from the fit are shown with a box around the number. These are typically random noise hits unassociated with the air shower, or from pixels receiving very little light and hence lacking a reliable time measurement.
Once the geometry of the event has been determined, the amount of light seen by the detector can be corrected for 1/r2 spread and attenuation losses to yield a shower size (in number of electrons, since most of the shower is dominated by the electromagnetic component.) as a function of the atmospheric depth penetrated. This function is referred to as a "shower profile". This figure shows the shower profile for the event displayed in the two previous figures.
Two important quantities can be extracted from the shower profile. First, the energy of the primary cosmic ray is proportional to the shower size. Second, the depth of the shower maximum can be read off the plot and gives a statistical measure of the composition of the primary cosmic ray. For the above event, there are ~6x108 particles at shower maximum. This translates to an energy of ~8x1017 eV for the primary particle. The shower maximum is measured at just over 800 g/cm2, which is more consistent with light composition for this energy. One should not attach too much significance to the measured value of Xmax, because the expected fluctuations are very large and conclusions should only be drawn from the average values over many events.
The actual shower profile fitting procedure is more complicated than the simplified description above would lead you to believe. The light observed by the detector includes several components in addition to the scintillation light. This is illustrated for a simulated 1018 eV event in the figure below. Here the shower development is parameterized in terms of altitude (top) and the "viewing angle" qi. The angle qi, introduced in the diagram above illustrating the timing fit, is the angle between the reverse direction of the shower and the pointing direction of the pixel in question. For example, those pixels which view the shower head-on would have qi values near zero.
Five distinct sets of curves are shown in the figure above. The curve marked Ne shows the shower size (relative to the scale on the right) as a function of shower development. The other four curves show the fractional contribution (left-hand side scale) to the total amount of light seen by the detector at each stage of shower development: (a) Cv: direct Cerenkov light for small viewing angles, (b) Sc: scintillation (fluorescence) light, (c) R: Cerenkov light from molecular (Rayleigh) scattering, and (d) M: Cerenkov light from particulate (Mie) scattering. All four components must be included when the observed light signal is fitted to a shower profile.
In 1986, a second Fly's Eye detector site was completed with 36 mirrors. The new detector was referred to as Fly's Eye 2 (FE2), and was located 3.4 km from the original site, which was henceforth denoted as FE1. The new mirrors are identical in design and construction to the original FE1 mirrors. The photograph below shows an aerial view of the FE2 detectors, which were also located in the middle of the CASA-MIA array.
The addition of the FE2 detector allowed the trajectory of the air shower to be reconstructed by a process of triangulation, illustrated in the figure below. This "stereoscopic" reconstruction technique was much more accurate than the timing fit described previously, and hence gave a much more reliable energy measurement than was afforded by monocular measurement.
Both FE1 and FE2 sites were operated until 1993. The total monocular exposure of the original FE1 detector reached ~930 km2-sr-yrs for cosmic rays with energy 5x1019 eV (the aperture of the detector, measured in km2-sr, is energy-dependent). The final stereo exposure accumulated was ~150 km2-sr-yrs.
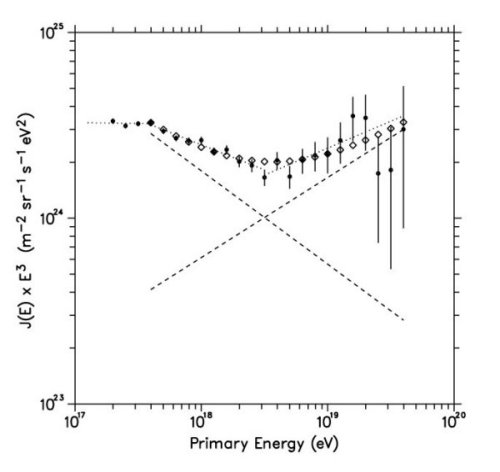
At the time of it shutdown in 1993, the Fly's Eye had compiled the world's largest UHE cosmic ray data set. This yielded a high precision monocular energy spectrum, shown in the figure below. In this plot, the differential flux is multiplied by E3. This multiplication is customary when showing the details of UHE cosmic ray spectra.
The Fly's Eye data set was also used in an extensive search for both large- and small-scale arrival direction anisotropy. No significant excesses or deficits were observed.
It turns out that the superior resolution of the stereo data set yielded some very interesting results. In particular, the stereo energy sepctrum, shown in the figure below (filled squares with error bars) revealed an apparent "dip" in the spectrum near ~3x1018 eV. This structure was not seen in the monocular spectrum with its inferior energy resolution, but have been observed by other experiments (e.g. Yakutsk and AGASA), and is usually referred to as the "ankle". It should be noted that there is siginificant disagreement between the different experiments in the actual energy of the "ankle".
In addition toe the "dip" in the energy spectrum, the stereo data also allowed a very accurate measurement of the evolution of the average Xmax with energy, as shown in the figure below (filled circles with error bars).
The slope of this semi-log plot, dXmax/dlogE, is referred to as the "elongation rate". The prediction for the absolute Xmax values is very sensitive to the hadronic models used in shower simulations. However, the elongation rates are essentially model-independent. For a single component (light element or heavy element), the value of dXmax/dlogE is predicted to be about 55 g/cm2/decade. In the figure above, the predictions for iron and protons are shown by the open circles and open aquares, respectively. The measured elongation rate above 3x1017 eV is ~70 g/cm2/decade. This slope is suggestive of a shift from a heavier to a lighter compositoin across the ankle region.
To explore this possibility further, both the energy spectrum and the Xmax data are fitted to a two-component model. One component is assumed to consist of iron, and the other protons. The iron component is assumed to have a steeper spetral index than the protons. It turns out that this model is able to simultansouly fit both sets of observations. In the energy spectrum plot above, the spectra of the two components are shown by the two dashed lines. The combined spectrum, shown by the open diamonds, reproduces the observed energy spectrum quite well. Using the same proportions of the two components extratced from this fit, one can make a prediction for the average Xmax values from this varying mix. The results are plotted in the Xmax figure above shown with open diamonds. It is clear that the predictions are in excellent agreement with the measured points.
The two component model used above is probably much too simple-minded to represent the actual situation. However, its success in describing the observations should be seen as a strong indication of a shift towards a lighter composition for cosmic rays near the "ankle" region. A possible explanation for such an observation would be the shift from a magnetically confined, heavier, intra-galatic component to a lighter, extra-galatic component.
In October of 1991, The FE1 detector observed an air shower with an energy of 3.2x1020 eV. This corresponds to ~50 joules or ~12 calories, or roughly the kinetic energy of a well-pitched baseball. As of the year 2000, this remains the highest energy particle ever recorded from any source. A display of the event is shown below, where the x- and z-direction cosines of the hit pixels are circled.

Event Display for the 3.2x1020 eV air shower recorded by FE1 in October, 1991.
The 3.2x1020 eV event was not seen by the FE2 detector. The absence of a corresponding trigger in FE2 is consist with the FE1 monocular reconstruction, which places the shower outside the field of view of FE2. The plot below shows the reconstrucetd shower profile. The observed Xmax of ~800 g/cm2 is perfectly consistent with a hadron-initiated air shower of the measured 3.2x1020 eV energy.

Shower Profile for the 3.2x1020 eV air shower recorded by FE1 in October, 1991.
The most important aspect of this 3.2x1020 eV event is that it is ~5 times above the theoretical Greisen-Zaptsepin-K'uzmin (GZK) cut-off at ~6x1019 eV. Super-GZK events (those above 6x1019 eV) had previously been reported by a number of ground array experiments, including Volcano Ranch, Yakutsk, and Haverah Park. The Fly's Eye event is the first such event seen with the fluorescence technique and is siginificantly higher in energy than the other candidates. This discovery was seen to give strong evidence for a non-zero flux of cosmic rays above the GZK cut-off. Since the Fly's Eye event, the AGASA group has reported a number of super-GZK events. A discussion of the GZK cut-off is given in the Physics of HiRes section of this web-site.